Из Омска запускают новый пригородный маршрут до Черёмушек
Об этом сообщил «Омскоблавтотранс».
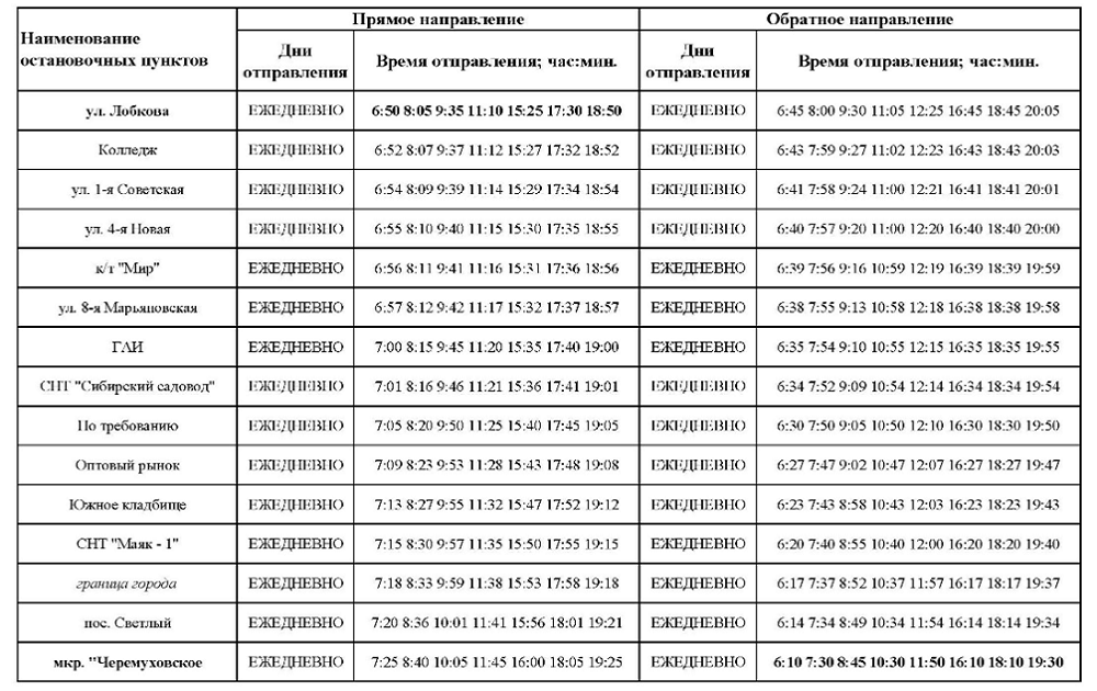
В паблике организации в социальной сети «ВКонтакте» появилось сообщение о том, что акционерное общество «Омскоблавтотранс» начинает обслуживать новый маршрут, которому присвоен номер 133, «Омск — мкр. Черемуховское». Автобусы начнут ездить по нему ежедневно с 12 февраля текущего года. Отправление первого рейса от остановки «ул. Лобкова» намечено на 6:50, последнего — на 18:50. В обратном направлении, из Черёмушек в Омск, первый автобус поедет в 6:45, последний — в 20:05. Приводим ниже полное расписание движения 133 автобуса.

Кроме того, на предприятии рассказали о пополнении автобусного парка за счет предоставленных субсидий. Сегодня, 3 февраля, «Омскоблавтотранс» получил четыре вместительных, комфортных и надёжных новых автобуса марки НефАЗ-5299-17-52, предназначенных для междугородних поездок.
«На текущий момент из 149 приобретенных транспортных средств предприятием получены 57:9 единиц ПАЗ-3204 «Вектор», 9 единиц «ГАЗель Next», 35 единиц ПАЗ-3205, 4 единицы НефАЗ-5299-17-52», — сообщил «Омскоблавтотранс».
Фото: vk.com/omskav.
По теме:
Из Омска отменили автобусный рейс в Казахстан
Теги
Поделиться новостью
Новости партнеров
По теме